Me!!!
canāt wait for zug primary leafia backup
over under that guy is katze

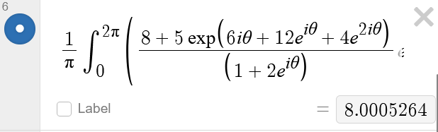
How to fix this integral mods help
if itās complex just say itās 0 youāre probably right

I mean I know itās not zero but they donāt like proof by desmos
iām so glad i didnāt do higher mathematics
yeah thatās the message that was being given
if you can find an analytic antiderivative you can do the math at the endpoints?
i guess therein lies the problem
how did you get here
that doesnāt seem very intended

higher math 
I should finally go look at the proof for why all groups are isomorphic to subgroups of permutations thbthtbthbthtbhtbthb
yeah itās like eating candles
some people think itās wacky but thereās always gonna be a candle eaters club next door
I love eating candles too
They are CRUNCHY and DELICIOUS
what more could you want
yeah i got that impression mate
i mean i think the proof is kinda just āthink about permutations for a whileā
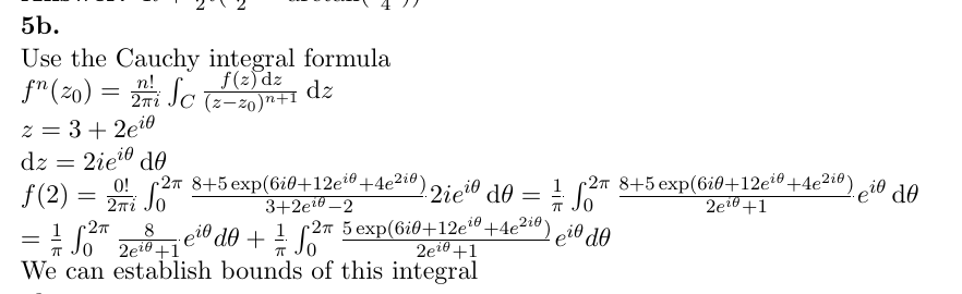
Heās asking āwhat can be said about the modulusā rather than āfind the value of hte integralā so he might intend us to use Techniques to find upper/lower bounds for the integral
But even using maximum length doesnāt bound it very well because the maximum is SO HIGH

