I feel like a lot of people with partners do the same thing spending a substantial time lying down with the lights off in somebody’s arms rather than sleeping. And they’re usually fine, they don’t need substantially more time in bed htan most people as far as I know. So maybe it counts as sleeping…
Is it functionally any different from lying in the dark alone? Probably not, right. But like. It is more relaxing I suppose
NYAAAA Functional calculus issue
NYAAAAAAAAAAAAAAAAAAAAAAAA I am now awake
Atlas success
HOW MANY FACTS DO YOU KNOW ABOUT ICOSAHEDRONS
the putnam LOVES icosahedrons (it’s their logo)
get ready to learn about tetrahedrons buddy
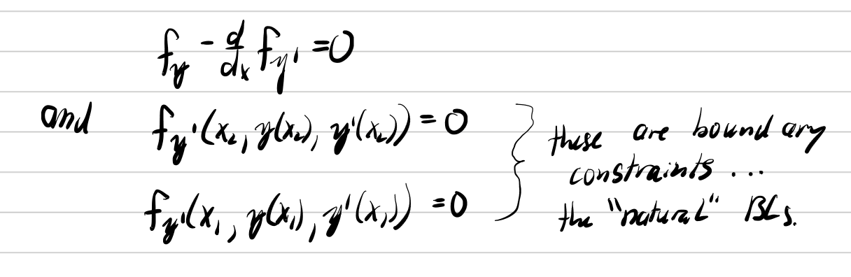
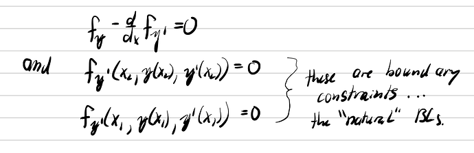
“Natural boundary conditions” for a functional are when the boundary conditions aren’t given and you have to figure them out yourself. You’ve got an integral which takes a function as input, you want to find the function that extremises that functional, etc etc et al. You can use witchcraft/trickery to find what the value of your function at the boundaries of the integral should be. Per what was taught in class:
But for some reason my functional, which satisfies the boundary condition equations, is less minimal than my friend’s functions, which does not satisfy the boundary condition equations. So math is broken
wow this is barely legible
what do bot accounts who comment on youtube gain
I’ve been saying this. I thought he was writing BLs instead of BCs and I made a bunch of jokes about yaoi
My friends are like ohhh it’s not htat bad but I was literally extremely confused on some math e did because I thought an alpha was a partial derivative symbol
Look at this shit
read “Liam’s function” as “Litten’s function”
Liam is a double CS major
nyaaaaaa what does this entail
Computer Science proper and also a separate IT/webdev major
wait so why is Liam in insane math course for FoLers
I forget…
I was just wondering myself. He says he’s done with math after ACalc
