Zug do you also hear mad rat monday songs in public and go mad rat monday reference
NYAAAAAAAAAAAAAAAA I never hear them in public
I mean the songs that make it up. Never? It’s got like so many common songs
The canines on the right side of my mouth are worn down such that they can’t touch. They’re not pointy. I wonder if this is because I use them to open bottles…
On the left side of my mouth if I touch the points of the teeth together it like opens my mouth slightly. On the right they cna’t touch at all. Damn…
I should ask my dentist if it indicates a bite problem
I usually open bottles with the teeth further back so it oculd be a chewing thing too
A monad is a monoid in the category of endofunctors
oh
uh maybe? IDK
The frats who are fundraising play music on the way to clsas and they’re alwyas playing some manner of song that’s in Mad Rat Monday
Mad Frat Monday!!
MAD FRAT MONDAY

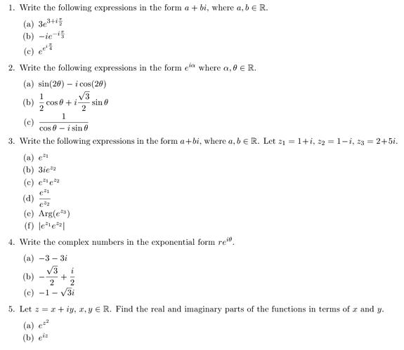
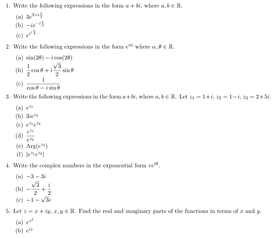
Minor theta issue
i 10ed a math bonus against a math phd student on saturday and i got a rejection from their program today…
surely not a coincidence…
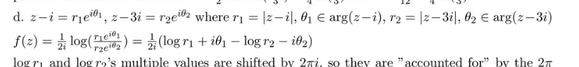
When I wrote this:
I explicitly thought in my head “maybe I should restart the definitions of r_1, r_2, theta_1, and theta_2 at the end, actually that’s super redundant and unnecessary since I literally started out the problem defining them”

i think your complex class is harder than mine
I showed your homework to some other classmates and they were like wtf tihs is so unfair



